List of MACHEN's publications

Pre-prints


Assigning Entities to Teams as a Hypergraph Discovery Problem

drawing Guilherme Ferraz de Arruda, Wan He, Nasimeh Heydaribeni, Tara Javidi, Yamir Moreno, Tina Eliassi-Rad

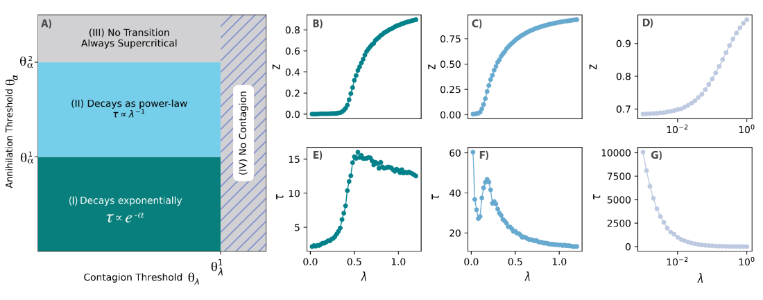
Rumor propagation on hypergraphs

drawing Kleber A. Oliveira, Pietro Traversa, Guilherme Ferraz de Arruda,Yamir Moreno

Multilayer network science: theory, methods, and applications

drawing Alberto Aleta, Andreia Sofia Teixeira, Guilherme Ferraz de Arruda, Andrea Baronchelli, Alain Barrat, János Kertész, Albert Díaz-Guilera, Oriol Artime, Michele Starnini, Giovanni Petri, Márton Karsai, Siddharth Patwardhan, Alessandro Vespignani, Yamir Moreno, Santo Fortunato